返回列表
原子间势能分析
产品简介
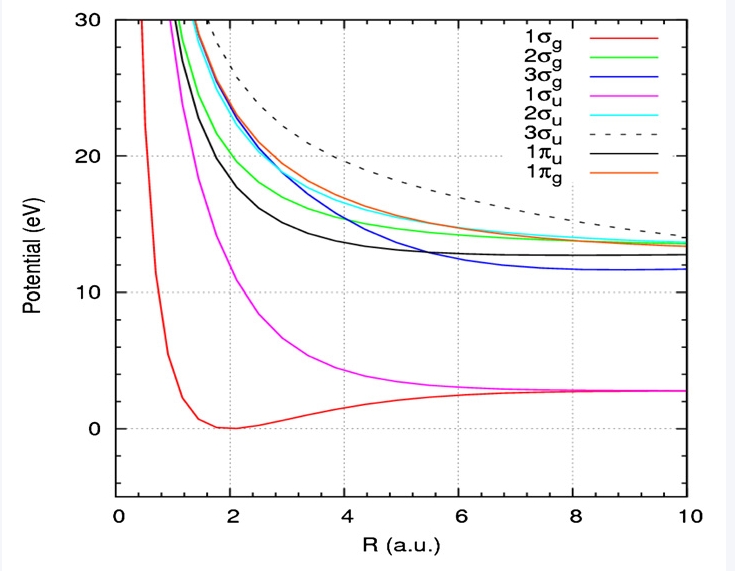
原子间势能是描述原子之间相互作用能量的函数,它是原子间距的函数。通过对原子间势能的分析,可以深入理解材料的微观结构、力学性质、热学性质等,对于解释实验现象、预测材料性能以及指导材料设计具有重要意义。
向下滑动
应用领域
相关软件
Allegro、DP-GEN、DeePMD - kit、SimpleNN
分析内容